NGHỊ ĐỊNH 54/2026/NĐ-CP – SỬA ĐỔI, BỔ SUNG MỘT SỐ ĐIỀU CỦA CÁC NGHỊ ĐỊNH TRONG LĨNH VỰC NHÀ Ở, KINH DOANH BẤT ĐỘNG SẢN

CHÍNH PHỦ
——-

CỘNG HÒA XÃ HỘI CHỦ NGHĨA VIỆT NAM
Độc lập – Tự do – Hạnh phúc
—————

Số: 54/2026/NĐ-CP

Hà Nội, ngày 09 tháng 02 năm 2026

 

NGHỊ ĐỊNH

SỬA ĐỔI, BỔ SUNG MỘT SỐ ĐIỀU CỦA CÁC NGHỊ ĐỊNH TRONG LĨNH VỰC NHÀ Ở, KINH DOANH BẤT ĐỘNG SẢN

Căn cứ Luật Tổ chức Chính phủ số 63/2025/QH15;

Căn cứ Luật Tổ chức chính quyền địa phương số 72/2025/QH15;

Căn cứ Luật Nhà ở số 27/2023/QH15;

Căn cứ Luật Kinh doanh bất động sản số 29/2023/QH15;

Căn cứ Luật số 43/2024/QH15 sửa đổi, bổ sung một số điều của Luật Đất đai số 31/2024/QH15, Luật Nhà ở số 27/2023/QH15, Luật Kinh doanh bất động sản số 29/2023/QH15 và Luật Các tổ chức tín dụng số 32/2024/QH15;

Theo đề nghị của Bộ trưởng Bộ Xây dựng;

Chính phủ ban hành Nghị định sửa đổi, bổ sung một số điều của các Nghị định trong lĩnh vực nhà ở, kinh doanh bất động sản.

Chương I

SỬA ĐỔI, BỔ SUNG MỘT SỐ ĐIỀU CỦA NGHỊ ĐỊNH SỐ 96/2024/NĐ-CP NGÀY 24 THÁNG 7 NĂM 2024 CỦA CHÍNH PHỦ QUY ĐỊNH CHI TIẾT MỘT SỐ ĐIỀU CỦA LUẬT KINH DOANH BẤT ĐỘNG SẢN

Điều 1. Bổ sung Điều 2a

Bổ sung Điều 2a sau Điều 2 như sau:

“Điều 2a. Nguyên tắc giải quyết thủ tục hành chính

1. Hồ sơ đề nghị giải quyết thủ tục hành chính được gửi bằng hình thức trực tiếp, trực tuyến hoặc thông qua dịch vụ bưu chính.

2. Mẫu đơn, tờ khai, thành phần hồ sơ tại khoản 3, khoản 4 Điều 10, khoản 2 Điều 14, điểm b khoản 3 Điều 17, Điều 26, khoản 3 Điều 31, khoản 3 Điều 32 của Nghị định này có quy định về các thông tin đã có trong cơ sở dữ liệu quốc gia về dân cư hoặc cơ sở dữ liệu chuyên ngành thì các thông tin này được thay thế bằng mã số định danh cá nhân hoặc mã số chuyên ngành thể hiện trong mẫu đơn, tờ khai khi cơ sở dữ liệu quốc gia về dân cư hoặc cơ sở dữ liệu chuyên ngành được vận hành.

Trường hợp người Việt Nam định cư ở nước ngoài và người nước ngoài đang cư trú ở Việt Nam chưa được cấp mã số định danh cá nhân hoặc thông tin chưa có trên cơ sở dữ liệu thì được tiếp tục nộp bản sao giấy tờ, tài liệu theo yêu cầu của thủ tục hành chính.

3. Kết quả giải quyết thủ tục hành chính được trả bằng bản điện tử; trường hợp cá nhân, tổ chức có yêu cầu nhận bản giấy thì cơ quan giải quyết thủ tục hành chính có trách nhiệm trả đồng thời cả bản điện tử và bản giấy. Kết quả giải quyết thủ tục hành chính bản điện tử có giá trị pháp lý như kết quả giải quyết thủ tục hành chính bằng văn bản giấy.”

Điều 2. Sửa đổi, bổ sung Điều 8

Bổ sung khoản 4a sau khoản 4 như sau:

“4a. Trường hợp dự án đầu tư xây dựng nhà ở mà chưa thực hiện lấy ý kiến Bộ Quốc phòng, Bộ Công an theo quy định của pháp luật về nhà ở khi thực hiện chấp thuận chủ trương đầu tư và chủ đầu tư có nhu cầu bán, cho thuê mua nhà ở cho tổ chức, cá nhân nước ngoài theo quy định của pháp luật về nhà ở thì trong văn bản đề nghị bán, cho thuê mua nhà ở hình thành trong tương lai phải nêu rõ nội dung này làm cơ sở để Sở Xây dựng lấy ý kiến Bộ Quốc phòng, Bộ Công an. Bộ Quốc phòng, Bộ Công an có trách nhiệm trả lời trong thời hạn 07 ngày kể từ ngày nhận được văn bản của Sở Xây dựng. Văn bản thông báo nhà ở hình thành trong tương lai đủ điều kiện được bán, cho thuê mua của Sở Xây dựng phải nêu rõ kết quả theo ý kiến của Bộ Quốc phòng, Bộ Công an.

Trường hợp sau khi có văn bản thông báo nhà ở hình thành trong tương lai đủ điều kiện được bán, cho thuê mua mà chủ đầu tư có nhu cầu bán nhà ở cho tổ chức, cá nhân nước ngoài thì có văn bản gửi Sở Xây dựng đề nghị điều chỉnh hoặc bổ sung nội dung này trong văn bản thông báo.

Việc điều chỉnh, bổ sung văn bản thông báo nhà ở hình thành trong tương lai đủ điều kiện được bán, cho thuê mua được thực hiện theo quy định tại Điều này.”

Điều 3. Sửa đổi, bổ sung Điều 9

Sửa đổi, bổ sung điểm e khoản 2 như sau:

“e) Giấy tờ, tài liệu chứng minh việc bảo đảm cung cấp các dịch vụ cấp điện, cấp nước, thoát nước, thu gom rác thải, xử lý nước thải;”

Điều 4. Sửa đổi, bổ sung Điều 13

Sửa đổi, bổ sung điểm a, điểm d khoản 2 như sau:

“a) Bên chuyển nhượng và bên nhận chuyển nhượng hợp đồng thống nhất lập hợp đồng chuyển nhượng hợp đồng theo mẫu tại Phụ lục XI ban hành kèm theo Nghị định này.

Hợp đồng chuyển nhượng hợp đồng phải được lập thành văn bản với số lượng theo thỏa thuận của các bên nhưng không ít hơn 06 bản, bảo đảm đáp ứng yêu cầu của giao dịch và việc thực hiện nghĩa vụ của các bên theo quy định của pháp luật về đất đai, nhà ở, kinh doanh bất động sản, thuế, công chứng và pháp luật có liên quan”.

“d) Sau khi thực hiện quy định tại điểm c khoản này, một trong các bên nộp hồ sơ đến chủ đầu tư dự án bất động sản để đề nghị chủ đầu tư xác nhận việc chuyển nhượng hợp đồng; các giấy tờ trong hồ sơ bao gồm: các bản chính hợp đồng chuyển nhượng hợp đồng kèm theo bản chính hợp đồng mua bán; trường hợp chuyển nhượng một hoặc một số nhà ở, công trình xây dựng trong tổng số nhà ở, công trình xây dựng đã mua, thuê mua theo hợp đồng thì phải nộp bản chính hợp đồng hoặc phụ lục hợp đồng có thể hiện nhà ở, công trình xây dựng chuyển nhượng đã ký với chủ đầu tư; giấy tờ chứng minh đã nộp thuế hoặc được miễn, giảm thuế theo quy định của pháp luật về thuế. Việc xác nhận của chủ đầu tư vào hợp đồng chuyển nhượng hợp đồng quy định tại điểm đ khoản này là cơ sở chuyển giao quyền và nghĩa vụ của các bên”.

Điều 5. Sửa đổi, bổ sung Điều 15

Bãi bỏ khoản 2.

Điều 6. Sửa đổi, bổ sung Điều 17

Sửa đổi, bổ sung điểm b khoản 4 Điều 17 như sau:

“b) Trường hợp Sàn giao dịch bất động sản chấm dứt, đình chỉ hoạt động thì thực hiện theo quy định của pháp luật về doanh nghiệp. Văn bản thông báo chấm dứt, đình chỉ hoạt động phải được đồng thời gửi đến Sở Xây dựng để đăng tải lên Trang thông tin điện tử của Sở Xây dựng và Hệ thống thông tin, cơ sở dữ liệu về nhà ở và thị trường bất động sản.”

Điều 7. Sửa đổi, bổ sung Điều 18

“Doanh nghiệp kinh doanh dịch vụ môi giới bất động sản phải đáp ứng điều kiện về trụ sở, địa điểm hoạt động kinh doanh của doanh nghiệp theo quy định của pháp luật về doanh nghiệp.”

Điều 8. Bổ sung Điều 18a

Bổ sung Điều 18a sau Điều 18 như sau:

“Điều 18a. Chấm dứt, đình chỉ hoạt động doanh nghiệp kinh doanh dịch vụ môi giới bất động sản

Việc chấm dứt, đình chỉ hoạt động của doanh nghiệp kinh doanh dịch vụ môi giới bất động sản được thực hiện theo quy định của pháp luật về doanh nghiệp. Văn bản thông báo chấm dứt, đình chỉ hoạt động phải được đồng thời gửi đến Sở Xây dựng để đăng tải lên Trang thông tin điện tử của Sở Xây dựng và Hệ thống thông tin, cơ sở dữ liệu về nhà ở và thị trường bất động sản.”

Điều 9. Sửa đổi, bổ sung Điều 26

Bãi bỏ khoản 6.

Điều 10. Sửa đổi, bổ sung Điều 31

Bãi bỏ điểm c khoản 9.

Điều 11. Sửa đổi, bổ sung Điều 38

Sửa đổi, bổ sung khoản 5 như sau:

Bãi bỏ đoạn “Trường hợp dự án thực hiện điều chỉnh chủ trương đầu tư theo quy định pháp luật sau thời điểm Luật Kinh doanh bất động sản có hiệu lực thi hành thì thực hiện theo chủ trương đầu tư của dự án được chấp thuận điều chỉnh.”

Điều 12. Sửa đổi, bổ sung, thay thế một số cụm từ

Sửa đổi, bổ sung, thay thế một số cụm từ sau:

1. Thay thế cụm từ “trang thông tin điện tử của doanh nghiệp” thành “trang thông tin điện tử của doanh nghiệp (nếu có)” tại khoản 3 Điều 4.

2. Thay thế cụm từ “thỏa thuận cấp bảo lãnh” tại Phụ lục I (Mẫu số 01a và Mẫu số 01b) thành “văn bản cam kết bảo lãnh”.

3. Thay thế đoạn “Văn bản này được lập thành 06 bản (Bên A giữ 01 bản, Bên B giữ 01 bản, 01 bản nộp cho cơ quan thuế, 01 nộp cho cơ quan nhận hồ sơ cấp Giấy chứng nhận và 02 bản lưu tại chủ đầu tư (công ty ……….) và có giá trị pháp lý như nhau./.” tại Điều 9 của Phụ lục XI thành “Văn bản này được lập thành …bản và có giá trị pháp lý như nhau./.”

4. Thay thế cụm từ “Chủ tịch Ủy ban nhân dân tỉnh/thành phố” thành cụm từ “Ủy ban nhân dân tỉnh/thành phố”; thay thế cụm từ “Chủ tịch” thành cụm từ “T/M Ủy ban nhân dân tỉnh/thành phố” tại thẩm quyền ký, ban hành trong Phụ lục XIV.

5. Bãi bỏ mục 4 Phụ lục XVIII.

6. Bãi bỏ mục 4 Phụ lục XX.

Chương II

SỬA ĐỔI, BỔ SUNG MỘT SỐ ĐIỀU CỦA NGHỊ ĐỊNH SỐ 95/2024/NĐ-CP NGÀY 24 THÁNG 7 NĂM 2024 CỦA CHÍNH PHỦ QUY ĐỊNH CHI TIẾT MỘT SỐ ĐIỀU CỦA LUẬT NHÀ Ở

Điều 13. Bổ sung Điều 2a

Bổ sung Điều 2a sau Điều 2 như sau:

“Điều 2a. Nguyên tắc giải quyết thủ tục hành chính

1. Hồ sơ đề nghị giải quyết thủ tục hành chính được gửi bằng hình thức trực tiếp, trực tuyến hoặc thông qua dịch vụ bưu chính.

2. Mẫu đơn, tờ khai, thành phần hồ sơ tại khoản 1 Điều 6, khoản 2, khoản 3 Điều 65, khoản 1 Điều 75, khoản 1 Điều 77, khoản 2 Điều 84 của Nghị định này có quy định về các thông tin đã có trong cơ sở dữ liệu quốc gia về dân cư hoặc cơ sở dữ liệu chuyên ngành thì các thông tin này được thay thế bằng mã số định danh cá nhân hoặc mã số chuyên ngành thể hiện trong mẫu đơn, tờ khai khi cơ sở dữ liệu quốc gia về dân cư hoặc cơ sở dữ liệu chuyên ngành được vận hành.

Trường hợp người Việt Nam định cư ở nước ngoài và người nước ngoài đang cư trú ở Việt Nam chưa được cấp mã số định danh cá nhân hoặc thông tin chưa có trên cơ sở dữ liệu thì được tiếp tục nộp bản sao giấy tờ, tài liệu theo yêu cầu của thủ tục hành chính.

3. Kết quả giải quyết thủ tục hành chính được trả bằng bản điện tử; trường hợp cá nhân, tổ chức có yêu cầu nhận bản giấy thì cơ quan giải quyết thủ tục hành chính có trách nhiệm trả đồng thời cả bản điện tử và bản giấy. Kết quả giải quyết thủ tục hành chính bản điện tử có giá trị pháp lý như kết quả giải quyết thủ tục hành chính bằng văn bản giấy.”

Điều 14. Sửa đổi, bổ sung Điều 4

1. Bổ sung vào cuối điểm a khoản 2 như sau:

“a) …Trường hợp dự án có một phần diện tích nằm ngoài khu vực cần đảm bảo quốc phòng, an ninh thì Ủy ban nhân dân cấp tỉnh xác định phần diện tích mà tổ chức, cá nhân nước ngoài được sở hữu nhà ở trong danh mục các dự án đầu tư xây dựng nhà ở mà tổ chức, cá nhân nước ngoài được phép sở hữu, bảo đảm phù hợp với thông báo của Bộ Quốc phòng, Bộ Công an.”

2. Sửa đổi, bổ sung khoản 3 như sau:

“3. Trên cơ sở thông báo của Bộ Quốc phòng, Bộ Công an quy định tại khoản 2 Điều này, Ủy ban nhân dân cấp tỉnh có trách nhiệm xác định danh mục các dự án đầu tư xây dựng nhà ở trên địa bàn mà tổ chức, cá nhân nước ngoài được phép sở hữu nhà ở và công bố công khai danh mục này trên Cổng thông tin điện tử của Ủy ban nhân dân cấp tỉnh, đồng thời gửi cho cơ quan quản lý nhà ở cấp tỉnh để đăng tải danh mục các dự án này trên Cổng thông tin điện tử của cơ quan này.

Trường hợp danh mục các dự án đầu tư xây dựng nhà ở mà tổ chức, cá nhân nước ngoài được phép sở hữu nhà ở chưa được xác định và công khai theo quy định tại khoản này mà chủ đầu tư hoặc nhà đầu tư đề xuất dự án có nhu cầu bán nhà ở cho tổ chức, cá nhân nước ngoài thì được lựa chọn đề nghị lấy ý kiến Bộ Quốc phòng, Bộ Công an khi thực hiện thủ tục chấp thuận chủ trương đầu tư hoặc khi thực hiện thủ tục thông báo nhà ở hình thành trong tương lai đủ điều kiện được bán, cho thuê mua.”

Điều 15. Sửa đổi, bổ sung Điều 5

Bãi bỏ đoạn “Cơ quan có thẩm quyền quản lý quy hoạch cấp tỉnh khi phê duyệt quy hoạch thì có trách nhiệm công bố dân số tương đương một phường quy định tại khoản này trên Cổng thông tin điện tử của cơ quan mình” tại khoản 1.

Điều 16. Sửa đổi Điều 7

Sửa đổi điểm b khoản 5 như sau:

“b) Trường hợp hệ thống thông tin, cơ sở dữ liệu về nhà ở và thị trường bất động sản đã được kết nối, khai thác thì cơ quan cấp Giấy chứng nhận không thực hiện gửi báo cáo trực tiếp về Bộ Xây dựng, Bộ Nông nghiệp và Môi trường theo quy định tại điểm a khoản này.”

Điều 17. Sửa đổi Điều 14

Bãi bỏ đoạn: “Trong quá trình lập, phê duyệt quy hoạch xây dựng, quy hoạch đô thị cơ quan thẩm định quy hoạch lấy ý kiến Bộ Quốc phòng, Bộ Công an về khu vực cần bảo đảm quốc phòng an ninh theo quy định tại Điều 4 của Nghị định này trong thời hạn tối đa 15 ngày, kể từ ngày nhận được đề nghị của cơ quan thẩm định quy hoạch” tại khoản 3.

Điều 18. Sửa đổi, bổ sung Điều 15

Sửa đổi, bổ sung khoản 6 như sau:

“6. Trường hợp nhà đầu tư lựa chọn đề nghị lấy ý kiến Bộ Quốc phòng, Bộ Công an xác định dự án thuộc khu vực cần bảo đảm quốc phòng, an ninh hoặc không thuộc khu vực này khi thực hiện thủ tục chấp thuận chủ trương đầu tư thì trong hồ sơ đề nghị chấp thuận chủ trương đầu tư phải nêu rõ nội dung này làm cơ sở để Ủy ban nhân dân cấp tỉnh lấy ý kiến Bộ Quốc phòng, Bộ Công an trong quá trình thẩm định chủ trương đầu tư dự án.”

Điều 19. Bổ sung Điều 37a

Bổ sung Điều 37a sau Điều 37 như sau:

“Điều 37a. Giá bán, thuê mua, cho thuê nhà ở phục vụ tái định cư do nhà nước đầu tư xây dựng

1. Giá bán nhà ở phục vụ tái định cư do nhà nước đầu tư xây dựng do Ủy ban nhân dân cấp tỉnh quyết định hoặc Ủy ban nhân dân cấp xã khi được ủy quyền, phân cấp được xác định trong phương án bồi thường hỗ trợ tái định cư và xác định theo nguyên tắc bảo đảm tính đúng, tính đủ chi phí theo quy định của pháp luật, trong đó chi phí cấu thành giá bán gồm: chi phí đầu tư xây dựng nhà ở theo quy định của pháp luật về xây dựng; tiền sử dụng đất hoặc tiền thuê đất theo quy định của pháp luật về đất đai và thuế giá trị gia tăng.

2. Giá thuê mua nhà ở phục vụ tái định cư do nhà nước đầu tư xây dựng do Ủy ban nhân dân cấp tỉnh quyết định hoặc Ủy ban nhân dân cấp xã khi được ủy quyền, phân cấp theo nguyên tắc quy định tại khoản 1 Điều này và xác định theo công thức quy định tại khoản 6 Điều này.

3. Giá thuê nhà ở phục vụ tái định cư do nhà nước đầu tư xây dựng do Ủy ban nhân dân cấp tỉnh quyết định hoặc Ủy ban nhân dân cấp xã khi được ủy quyền, phân cấp được xác định theo nguyên tắc bảo đảm tính đúng, tính đủ chi phí theo quy định của pháp luật, trong đó chi phí cấu thành giá thuê gồm: các chi phí quy định tại khoản 1 Điều này, chi phí bảo trì được phân bổ theo thời hạn thu hồi vốn. Thời hạn thu hồi vốn đối với nhà ở để cho thuê do Ủy ban nhân dân cấp tỉnh quyết định hoặc Ủy ban nhân dân cấp xã khi được ủy quyền, phân cấp và tối đa không vượt quá thời hạn sử dụng công trình theo quy định của pháp luật và xác định theo công thức quy định tại khoản 6 Điều này.

4. Trường hợp mua, thuê mua căn hộ chung cư thì việc đóng kinh phí bảo trì phần sở hữu chung được thực hiện theo quy định của pháp luật về nhà ở.

5. Chi phí quản lý vận hành nhà ở (nếu có) do người mua, thuê, thuê mua nhà ở chi trả trực tiếp cho đơn vị quản lý vận hành nhà ở theo quy định.

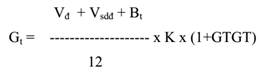
6. Công thức xác định giá thuê, giá thuê mua nhà ở phục vụ tái định cư như sau:

Trong đó:

a) Gt: là giá thuê, thuê mua 01 m2 sử dụng nhà ở trong 01 tháng (đồng/m2/tháng);

b) Vđ: là toàn bộ chi phí hợp lý trước thuế để thực hiện đầu tư xây dựng công trình nhà ở (bao gồm cả các chi phí được phân bổ cho công trình) theo quy định của pháp luật về quản lý đầu tư xây dựng công trình, được phân bổ hàng năm cho 01 m2 sử dụng theo nguyên tắc bảo toàn vốn. Khi xác định Vđ đối với trường hợp thuê mua thì phải giảm trừ chi phí đã thanh toán lần đầu theo thỏa thuận trong hợp đồng.

Tùy theo hình thức đầu tư, căn cứ xác định Vđ như sau:

Trường hợp Nhà nước trực tiếp đầu tư xây dựng nhà ở phục vụ tái định cư bằng nguồn vốn nhà nước quy định tại khoản 2 Điều 113 của Luật Nhà ở hoặc sử dụng nhà ở xã hội để làm nhà ở phục vụ tái định cư: Vđ xác định căn cứ theo giá trị quyết toán vốn đầu tư được cơ quan nhà nước có thẩm quyền phê duyệt; trường hợp chưa phê duyệt quyết toán thì Vđ xác định căn cứ theo chi phí đầu tư xây dựng công trình do cơ quan nhà nước có thẩm quyền phê duyệt hoặc chi phí đầu tư xây dựng thực tế tại thời điểm xác định giá hoặc theo giá trị đề nghị quyết toán hoặc theo biên bản nghiệm thu A-B.

Trường hợp Nhà nước mua nhà ở thương mại để làm nhà ở phục vụ tái định cư: Vđ xác định căn cứ theo giá mua nhà thương mại trong hợp đồng mua bán đã ký với chủ đầu tư dự án xây dựng nhà ở thương mại;

c) Vsdđ: là tiền sử dụng đất phân bổ hàng năm cho 01 m2 sử dụng nhà ở theo quy định của pháp luật về đất đai.

Trường hợp Nhà nước trực tiếp đầu tư xây dựng nhà ở phục vụ tái định cư bằng nguồn vốn nhà nước quy định tại khoản 2 Điều 113 của Luật Nhà ở hoặc sử dụng nhà ở xã hội làm nhà ở phục vụ tái định cư thì Vsdđ xác định theo bảng giá đất do địa phương ban hành theo quy định của pháp luật về đất đai.

Trường hợp Nhà nước mua nhà ở thương mại để làm nhà ở phục vụ tái định cư đã bao gồm tiền sử dụng đất thì Vsdđ bằng 0;

d) Bt: là chi phí bảo trì bình quân hàng năm phân bổ trên 01 m2 sử dụng nhà ở. Đối với thuê mua nhà ở thì không tính chi phí bảo trì (Bt = 0 đồng); người thuê mua nộp kinh phí bảo trì theo quy định của Luật Nhà ở;

đ) K: là hệ số tầng điều chỉnh giá thuê, giá thuê mua đối với căn hộ được xác định theo nguyên tắc bình quân gia quyền và bảo đảm tổng hệ số các tầng của một khối nhà bằng 1;

e) GTGT: thuế giá trị gia tăng xác định theo quy định của pháp luật về thuế giá trị gia tăng;

g) Số 12: là số tháng tính trong 01 năm.”

Điều 20. Sửa đổi, bổ sung Điều 51

1. Bãi bỏ khoản 2.

2. Sửa đổi, bổ sung khoản 3 như sau:

a) Thay thế cụm từ “15 ngày” thành cụm từ “10 ngày” tại điểm b;

b) Thay thế cụm từ “30 ngày” thành cụm từ “20 ngày” tại điểm c.

3. Bãi bỏ điểm c khoản 4.

4. Bỏ cụm từ “, điểm c” tại điểm d khoản 4.

Điều 21. Bổ sung Điều 58

Bổ sung khoản 1a sau khoản 1 như sau:

“1a. Trường hợp Ủy ban nhân dân cấp tỉnh phân cấp, ủy quyền cho Ủy ban nhân dân cấp xã làm đại diện chủ sở hữu nhà ở thuộc tài sản công thì Ủy ban nhân dân cấp xã đồng thời là cơ quan quản lý nhà ở thuộc tài sản công.”

Điều 22. Sửa đổi, bổ sung Điều 71

Bổ sung vào cuối khoản 4 như sau:

“…Trường hợp không xác định được tỷ lệ chất lượng còn lại của nhà ở cũ thuộc tài sản công theo quy định tại Phụ lục VIII của Nghị định này thì Ủy ban nhân dân cấp tỉnh quyết định tỷ lệ chất lượng còn lại của nhà ở phù hợp với điều kiện thực tế.”

Điều 23. Sửa đổi, bổ sung Điều 85

1. Sửa đổi, bổ sung khoản 1 như sau:

“1. Đơn vị có nhu cầu gửi 01 bộ hồ sơ quy định tại khoản 2 Điều 84 của Nghị định này đến cơ quan quản lý nhà ở cấp tỉnh.”

2. Sửa đổi, bổ sung khoản 2 như sau:

Bãi bỏ đoạn “trường hợp cơ quan quản lý nhà ở trực thuộc Bộ Xây dựng ban hành văn bản thông báo thì phải đăng tải thông báo này trên Cổng thông tin điện tử của Bộ Xây dựng.”

Điều 24. Bổ sung Điều 86a

Bổ sung Điều 86a sau Điều 86 như sau:

“Điều 86a. Áp dụng giá dịch vụ nhà chung cư trong trường hợp đơn vị quản lý vận hành và chủ sở hữu không đạt được thỏa thuận

Trường hợp đơn vị quản lý vận hành và các chủ sở hữu, người sử dụng nhà chung cư không thỏa thuận được giá dịch vụ quản lý vận hành nhà chung cư thì đơn vị quản lý vận hành được tạm thu theo mức phí dịch vụ đang thu của năm liền kề trước đó hoặc mức khác, đảm bảo mức tạm thu này không vượt khung giá dịch vụ quản lý vận hành nhà chung cư do Ủy ban nhân dân cấp tỉnh ban hành cho đến khi các bên thỏa thuận được giá dịch vụ.”

Điều 25. Sửa đổi Điều 95

Bãi bỏ khoản 8.

Điều 26. Thay thế một số cụm từ

Thay thế cụm từ “Điều kiện huy động vốn” tại tên các Điều 43, 44, 45, 46, 47 và 48 bằng cụm từ “Điều kiện huy động vốn để phát triển nhà ở”.

Chương III

SỬA ĐỔI, BỔ SUNG MỘT SỐ ĐIỀU CỦA NGHỊ ĐỊNH SỐ 98/2024/NĐ-CP NGÀY 25 THÁNG 7 NĂM 2024 CỦA CHÍNH PHỦ QUY ĐỊNH CHI TIẾT MỘT SỐ ĐIỀU CỦA LUẬT NHÀ Ở VỀ CẢI TẠO, XÂY DỰNG LẠI NHÀ CHUNG CƯ

Điều 27. Sửa đổi, bổ sung Điều 4

Bổ sung khoản 8 và khoản 9 như sau:

“8. Mẫu đơn, tờ khai, thành phần hồ sơ tại khoản 1 Điều 10 của Nghị định này có quy định về các thông tin đã có trong cơ sở dữ liệu quốc gia về dân cư hoặc cơ sở dữ liệu chuyên ngành thì các thông tin này được thay thế bằng mã số định danh cá nhân hoặc mã số chuyên ngành thể hiện trong mẫu đơn, tờ khai khi cơ sở dữ liệu quốc gia về dân cư hoặc cơ sở dữ liệu chuyên ngành được vận hành.

9. Kết quả giải quyết thủ tục hành chính được trả bằng bản điện tử; trường hợp cá nhân, tổ chức có yêu cầu nhận bản giấy thì cơ quan giải quyết thủ tục hành chính có trách nhiệm trả đồng thời cả bản điện tử và bản giấy. Kết quả giải quyết thủ tục hành chính bản điện tử có giá trị pháp lý như kết quả giải quyết thủ tục hành chính bằng văn bản giấy.”

Điều 28. Sửa đổi, bổ sung Điều 16

Bổ sung vào cuối khoản 1 như sau:

“…Thời gian tối đa để thực hiện việc thỏa thuận chuyển nhượng quyền sử dụng đất do Ủy ban nhân cấp tỉnh quyết định nhưng phải trước thời điểm dự kiến thời gian thực hiện di dời, phá dỡ lại nhà chung cư trong kế hoạch cải tạo, xây dựng lại nhà chung cư được phê duyệt theo quy định tại khoản 2 Điều 7 của Nghị định này.”

Điều 29. Sửa đổi, bổ sung Điều 18

Sửa đổi, bổ sung khoản 1 như sau:

“1. Việc lựa chọn chủ đầu tư dự án cải tạo, xây dựng lại nhà chung cư thông qua tổ chức đấu thầu được áp dụng đối với trường hợp hết thời hạn lựa chọn nhà đầu tư dự án theo quy định tại khoản 5 Điều 17 của Nghị định này mà không có nhà đầu tư đăng ký tham gia hoặc có nhà đầu tư đăng ký tham gia nhưng các chủ sở hữu nhà chung cư không lựa chọn được chủ đầu tư dự án hoặc trường hợp cơ quan có thẩm quyền quyết định đấu thầu lựa chọn chủ đầu tư khi nhà đầu tư không được toàn bộ các chủ sở hữu thống nhất thỏa thuận chuyển nhượng quyền sử dụng đất quy định tại Điều 16 của Nghị định này.”

Điều 30. Sửa đổi, bổ sung một số cụm từ tại khoản 13 Điều 48

1. Thay thế cụm từ “thời hạn tối đa 15 ngày” tại điểm b thành cụm từ “thời hạn tối đa 05 ngày làm việc” và thay thế cụm từ “kế hoạch và đầu tư, tài chính, tài nguyên và môi trường” thành cụm từ “tài chính, nông nghiệp và môi trường”.

2. Thay thế cụm từ “thời hạn tối đa 10 ngày” tại điểm d thành cụm từ “thời hạn tối đa 05 ngày làm việc”.

3. Thay thế cụm từ “thời hạn tối đa 10 ngày” tại điểm đ thành cụm từ “thời hạn tối đa 05 ngày làm việc”.

Chương IV

SỬA ĐỔI, BỔ SUNG MỘT SỐ ĐIỀU NGHỊ ĐỊNH SỐ 100/2024/NĐ-CP NGÀY 26 THÁNG 7 NĂM 2024 QUY ĐỊNH CHI TIẾT MỘT SỐ ĐIỀU CỦA LUẬT NHÀ Ở VỀ PHÁT TRIỂN VÀ QUẢN LÝ NHÀ Ở XÃ HỘI (ĐÃ ĐƯỢC SỬA ĐỔI, BỔ SUNG TẠI NGHỊ ĐỊNH SỐ 261/2025/NĐ-CP)

Điều 31. Sửa đổi, bổ sung Điều 1

Bổ sung khoản 19 như sau:

“19. Nguyên tắc chung về thủ tục hành chính trong Nghị định này:

a) Hồ sơ đề nghị giải quyết thủ tục hành chính được gửi bằng hình thức trực tiếp, trực tuyến hoặc thông qua dịch vụ bưu chính;

b) Mẫu đơn, tờ khai, thành phần hồ sơ tại khoản 1 Điều 13, khoản 5 Điều 19, Điều 29, khoản 1 và khoản 2 Điều 30, khoản 2 Điều 35, Điều 37, Điều 38, khoản 2 Điều 44, điểm a khoản 2 Điều 48, Điều 63, Điều 67, Điều 68, khoản 2 Điều 70 có quy định về các thông tin đã có trong cơ sở dữ liệu quốc gia về dân cư hoặc cơ sở dữ liệu chuyên ngành thì các thông tin này được thay thế bằng mã số định danh cá nhân hoặc mã số chuyên ngành thể hiện trong mẫu đơn, tờ khai khi cơ sở dữ liệu quốc gia về dân cư hoặc cơ sở dữ liệu chuyên ngành được vận hành;

c) Kết quả giải quyết thủ tục hành chính được trả bằng bản điện tử; trường hợp cá nhân, tổ chức có yêu cầu nhận bản giấy thì cơ quan giải quyết thủ tục hành chính có trách nhiệm trả đồng thời cả bản điện tử và bản giấy. Kết quả giải quyết thủ tục hành chính bản điện tử có giá trị pháp lý như kết quả giải quyết thủ tục hành chính bằng văn bản giấy.”

Điều 32. Sửa đổi, bổ sung Điều 29

Sửa đổi, bổ sung khoản 1 như sau:

“1. Trường hợp chưa có nhà ở thuộc sở hữu của mình được xác định khi đối tượng quy định tại khoản 1 Điều 77 của Luật Nhà ở và vợ hoặc chồng của đối tượng đó (nếu có) được xác định là không có tên hoặc không có nội dung thông tin về nhà ở trong Giấy chứng nhận quyền sử dụng đất, quyền sở hữu tài sản gắn liền với đất tại tỉnh, thành phố trực thuộc trung ương nơi có dự án nhà ở xã hội đó.

Trong thời hạn 07 ngày, kể từ ngày nhận được giấy đề nghị xác nhận về điều kiện nhà ở, cơ quan có thẩm quyền cấp Giấy chứng nhận quyền sử dụng đất, quyền sở hữu tài sản gắn liền với đất theo quy định của pháp luật về đất đai tại tỉnh, thành phố trực thuộc trung ương nơi có dự án nhà ở xã hội xác nhận theo quy định tại khoản này.”

Điều 33. Sửa đổi, bổ sung Điều 30

Sửa đổi, bổ sung khoản 2 như sau:

“2. Trường hợp đối tượng quy định tại khoản 5 Điều 76 của Luật Nhà ở không có hợp đồng lao động thì phải bảo đảm điều kiện về thu nhập theo quy định tại khoản 1 Điều này và được cơ quan Công an cấp xã nơi thường trú hoặc tạm trú hoặc nơi ở hiện tại xác nhận. Trong thời hạn 07 ngày, kể từ ngày nhận được đơn đề nghị xác nhận, Công an cấp xã nơi công dân thường trú hoặc tạm trú hoặc nơi ở hiện tại tại thời điểm công dân đề nghị, có trách nhiệm xác nhận các thông tin gồm: Họ, chữ đệm và tên; Ngày, tháng, năm sinh; giới tính; số định danh cá nhân; ngày, tháng, năm cấp thẻ căn cước/căn cước công dân; nơi thường trú/nơi tạm trú/nơi ở hiện tại.

Công dân có trách nhiệm kê khai và cam kết thông tin thu nhập bình quân hàng tháng. Công an cấp xã phối hợp với các cơ quan có liên quan trong việc xác minh, hậu kiểm thông tin thu nhập bình quân hàng tháng của công dân đối với các trường hợp cần thiết.

Đơn đề nghị xác nhận điều kiện về thu nhập quy định tại khoản này đồng thời là giấy tờ chứng minh về đối tượng được hưởng chính sách hỗ trợ về nhà ở xã hội.”

Điều 34. Sửa đổi, bổ sung Điều 38

“Điều 38. Trình tự, thủ tục bán, cho thuê mua, cho thuê nhà ở xã hội được đầu tư xây dựng theo dự án và không sử dụng vốn đầu tư công, nguồn tài chính công đoàn

1. Trình tự, thủ tục bán nhà ở xã hội thực hiện như sau:

a) Sau 30 ngày, kể từ khi khởi công dự án, chủ đầu tư dự án đầu tư xây dựng nhà ở xã hội có trách nhiệm cung cấp các thông tin liên quan đến dự án để công bố công khai tại trang thông tin điện tử của Sở Xây dựng, Ủy ban nhân dân cấp xã tại địa phương nơi có dự án; đăng tải ít nhất 01 lần tại báo là cơ quan ngôn luận của chính quyền địa phương và công bố tại trang thông tin điện tử của chủ đầu tư (nếu có) hoặc Sàn giao dịch bất động sản của chủ đầu tư (nếu có) để người dân biết, chuẩn bị hồ sơ đăng ký mua nhà ở xã hội và thực hiện việc theo dõi, giám sát.

Thông tin công khai gồm: Tên dự án; chủ đầu tư dự án; địa điểm xây dựng dự án; địa chỉ liên lạc, địa chỉ nộp đơn đăng ký; tiến độ thực hiện dự án; quy mô dự án; số lượng căn hộ/căn nhà (trong đó bao gồm: Số căn hộ/căn nhà để bán; diện tích căn hộ; giá bán (tạm tính) đối với từng loại căn hộ/căn nhà; dự kiến thời gian bắt đầu nhận hồ sơ đăng ký và các nội dung khác có liên quan).

Trường hợp hệ thống thông tin, cơ sở dữ liệu về nhà ở và thị trường bất động sản đã được kết nối, khai thác thì thực hiện công khai thông tin về dự án đầu tư xây dựng nhà ở xã hội trên hệ thống này theo quy định của pháp luật về xây dựng và quản lý hệ thống thông tin, cơ sở dữ liệu về nhà ở và thị trường bất động sản;

b) Trước thời điểm bắt đầu tiếp nhận hồ sơ đăng ký mua nhà ở xã hội, chủ đầu tư công khai thông tin về thời điểm bắt đầu tiếp nhận, kết thúc tiếp nhận hồ sơ đăng ký mua, số căn hộ/căn nhà để bán, diện tích căn hộ, giá bán nhà ở xã hội trên hệ thống thông tin, cơ sở dữ liệu về nhà ở và thị trường bất động sản và gửi Sở Xây dựng địa phương nơi có dự án để công khai trên trang thông tin điện tử của Sở Xây dựng.

Việc công khai thông tin phải thực hiện tối thiểu 30 ngày trước thời điểm bắt đầu tiếp nhận hồ sơ;

c) Trên cơ sở các thông tin về dự án nhà ở xã hội đã được công khai, hộ gia đình, cá nhân có nhu cầu nộp hồ sơ mua nhà ở xã hội cho chủ đầu tư dự án. Mỗi hộ gia đình, cá nhân có nhu cầu mua nhà ở xã hội không được đồng thời đăng ký mua nhà ở xã hội tại nhiều dự án trong cùng một thời điểm.

Đối tượng quy định tại khoản 10 Điều 76 của Luật Nhà ở phải có xác nhận về đối tượng của Ủy ban nhân dân cấp xã nơi bị thu hồi đất và phải giải tỏa, phá dỡ nhà ở theo mẫu hướng dẫn của Bộ trưởng Bộ Xây dựng. Trong thời hạn 07 ngày, kể từ ngày nhận được đơn đề nghị xác nhận, Ủy ban nhân dân cấp xã thực hiện việc xác nhận về đối tượng.

Việc nộp hồ sơ được thực hiện thông qua hình thức trực tiếp, trực tuyến hoặc dịch vụ bưu chính hoặc nộp cho cơ quan, đơn vị, doanh nghiệp nơi cá nhân đang làm việc để tổng hợp, gửi chủ đầu tư dự án.

Thời gian nộp, tiếp nhận hồ sơ do chủ đầu tư quyết định nhưng tối thiểu là 30 ngày kể từ ngày bắt đầu tiếp nhận hồ sơ;

d) Hồ sơ đăng ký mua nhà ở xã hội bao gồm: đơn đăng ký mua nhà ở xã hội theo Mẫu số 01 quy định tại Phụ lục II của Nghị định này; giấy tờ chứng minh đối tượng, điều kiện được hưởng chính sách hỗ trợ về nhà ở xã hội.

Giấy tờ chứng minh đối tượng, điều kiện được hưởng chính sách hỗ trợ về nhà ở xã hội có giá trị trong thời gian 12 tháng, tính từ thời điểm xác nhận. Người đăng ký mua nhà ở xã hội phải cam kết chưa được hưởng chính sách hỗ trợ về nhà ở và chịu trách nhiệm về việc bảo đảm đối tượng, điều kiện được hưởng chính sách hỗ trợ về nhà ở xã hội tại thời điểm ký hợp đồng mua bán;

đ) Trong thời hạn 10 ngày, kể từ ngày hết hạn nộp hồ sơ, chủ đầu tư có trách nhiệm tổng hợp Danh sách đăng ký mua nhà ở xã hội, trong đó thể hiện thông tin cá nhân của người đăng ký và các thành viên trong hộ gia đình được khai tại Đơn đăng ký mua nhà ở xã hội; gửi Sở Xây dựng địa phương nơi có dự án để kiểm tra người đăng ký mua nhà ở xã hội đã được hưởng hoặc chưa được hưởng chính sách hỗ trợ về nhà ở theo quy định của pháp luật về nhà ở. Sở Xây dựng có trách nhiệm trả lời bằng văn bản trong thời hạn 10 ngày kể từ ngày nhận được Danh sách đăng ký.

Chủ đầu tư có trách nhiệm rà soát, đánh giá, tổng hợp ý kiến của Sở Xây dựng và đối chiếu với các quy định của pháp luật về nhà ở để xác định hồ sơ đáp ứng điều kiện được hưởng chính sách hỗ trợ về nhà ở xã hội.

Chủ đầu tư có trách nhiệm lập, công khai Danh sách các hồ sơ đáp ứng đủ điều kiện theo quy định và các hồ sơ không đáp ứng đủ điều kiện tại địa điểm thực hiện dự án, trang thông tin điện tử của chủ đầu tư (nếu có) và tại Sàn giao dịch bất động sản của chủ đầu tư (nếu có).

Trong thời hạn 30 ngày kể từ ngày hết hạn nộp hồ sơ, chủ đầu tư có trách nhiệm công khai Danh sách các hồ sơ đáp ứng đủ điều kiện mua nhà ở xã hội. Đối với hồ sơ không đáp ứng đủ điều kiện thì gửi trả lại và nêu rõ lý do trong thời hạn 15 ngày kể từ ngày công khai Danh sách;

e) Trường hợp tổng số hồ sơ đăng ký đủ điều kiện trong danh sách tại điểm đ khoản này bằng hoặc ít hơn tổng số căn hộ/căn nhà dự kiến bán thì việc mua bán được thực hiện theo thỏa thuận giữa chủ đầu tư và khách hàng;

g) Trường hợp tổng số hồ sơ đăng ký đủ điều kiện trong danh sách tại điểm đ khoản này lớn hơn tổng số căn hộ/căn nhà dự kiến bán thì chủ đầu tư tổ chức việc bốc thăm để lựa chọn người được mua nhà ở xã hội.

Hình thức bốc thăm do chủ đầu tư quyết định nhưng phải có sự giám sát của đại diện Sở Xây dựng địa phương, đại diện Ủy ban nhân dân cấp xã, đại diện Công an cấp xã nơi có dự án, xác nhận vào biên bản kết quả bốc thăm;

h) Trường hợp dự án có đối tượng ưu tiên theo quy định tại điểm đ khoản 1 Điều 79 của Luật Nhà ở thì được ưu tiên mua nhà ở xã hội mà không phải bốc thăm với số lượng căn hộ bằng tổng số hồ sơ đủ điều kiện của các nhóm đối tượng ưu tiên này trên tổng số hồ sơ đủ điều kiện trong danh sách quy định tại khoản này nhân với tổng số căn hộ/căn nhà nhà ở xã hội dự kiến bán.

Việc ưu tiên đối tượng là nữ giới được áp dụng đối với trường hợp người đứng đơn đăng ký là nữ giới đơn thân hoặc phải là chủ hộ của hộ gia đình trên cơ sở dữ liệu về cư trú.

Đối tượng ưu tiên quy định tại điểm đ khoản 1 Điều 79 của Luật Nhà ở được bố trí căn hộ/căn nhà theo thứ tự lần lượt như sau: người có công với cách mạng, thân nhân liệt sĩ, người khuyết tật, người được bố trí tái định cư theo hình thức mua nhà ở xã hội, nữ giới. Trường hợp số lượng đối tượng ưu tiên trong 01 nhóm vượt quá số lượng căn hộ/căn nhà ưu tiên còn lại thì thực hiện bốc thăm giữa nhóm đối tượng ưu tiên đó, các đối tượng còn lại được tiếp tục tham gia bốc thăm cùng với các đối tượng không ưu tiên;

i) Sau khi nhà ở đủ điều kiện được bán theo quy định của pháp luật về kinh doanh bất động sản, chủ đầu tư thực hiện ký kết Hợp đồng mua bán nhà ở xã hội với khách hàng; đồng thời cập nhật thông tin về giao dịch, đối tượng đã mua nhà ở xã hội theo quy định của pháp luật về nhà ở, pháp luật về xây dựng và quản lý hệ thống thông tin, cơ sở dữ liệu về nhà ở và thị trường bất động sản.

Chủ đầu tư dự án có trách nhiệm công bố công khai Danh sách các khách hàng đã ký hợp đồng mua bán nhà ở xã hội (bao gồm cả các thành viên trong hộ gia đình) tại trụ sở làm việc của chủ đầu tư, tại địa điểm thực hiện dự án và tại Sàn giao dịch bất động sản (nếu có) hoặc trang thông tin điện tử về nhà ở xã hội của chủ đầu tư (nếu có).

2. Trình tự, thủ tục cho thuê mua nhà ở xã hội được thực hiện theo quy định tại khoản 1 Điều này.

3. Trình tự, thủ tục cho thuê nhà ở xã hội được thực hiện theo quy định tại khoản 1 Điều này và không phải nộp các giấy tờ chứng minh điều kiện về nhà ở và thu nhập. Trường hợp thuê nhà ở xã hội thuộc tài sản công thì người thuê nộp các giấy tờ chứng minh thuộc đối tượng được miễn, giảm tiền thuê nhà ở xã hội (nếu có).”

Điều 35. Sửa đổi, bổ sung Điều 39

Sửa đổi, bổ sung Điều 39 như sau:

a) Sửa đổi, bổ sung khoản 1 như sau:

“1. Trường hợp bán lại nhà ở xã hội cho chủ đầu tư dự án thì việc bán lại thực hiện theo quy định tại điểm đ khoản 1 Điều 89 của Luật Nhà ở và quy định của pháp luật về kinh doanh bất động sản, pháp luật về đất đai.”

b) Bổ sung khoản 3 như sau:

“3. Trường hợp bên bán lại nhà ở xã hội quy định tại khoản 1, khoản 2 Điều này chưa thực hiện thủ tục thanh lý hợp đồng mua bán với chủ đầu tư thì thực hiện việc thanh lý hợp đồng theo quy định của pháp luật về dân sự trước khi bán lại nhà ở xã hội.”

Điều 36. Sửa đổi, bổ sung Điều 48

Bổ sung điểm a1 sau điểm a khoản 2 như sau:

“a1) Trong thời hạn 07 ngày, kể từ ngày nhận được giấy xác nhận về điều kiện theo quy định tại điểm a khoản 4 Điều 110 của Luật Nhà ở, Ủy ban nhân dân cấp xã xác nhận theo quy định tại khoản này.”

Điều 37. Sửa đổi, bổ sung Điều 68

Điều 68. Trình tự, thủ tục bán, cho thuê mua, cho thuê nhà ở cho lực lượng vũ trang nhân dân được đầu tư xây dựng không bằng vốn đầu tư công

1. Trình tự, thủ tục bán nhà ở cho lực lượng vũ trang nhân dân thực hiện như sau:

a) Sau thời gian 30 ngày kể từ ngày khởi công, chủ đầu tư dự án đầu tư xây dựng nhà ở cho lực lượng vũ trang nhân dân có trách nhiệm cung cấp các thông tin liên quan đến dự án (tên dự án; chủ đầu tư dự án; địa điểm xây dựng dự án; địa chỉ liên lạc; tiến độ thực hiện dự án; quy mô dự án; số lượng căn hộ (trong đó bao gồm: tổng số căn hộ của dự án; diện tích căn hộ; giá bán (tạm tính) đối với từng loại căn hộ; thời gian bắt đầu và kết thúc nhận đơn đăng ký và các nội dung khác có liên quan) đến cơ quan chuyên môn về nhà ở của Bộ Quốc phòng, Bộ Công an.

Trường hợp hệ thống thông tin, cơ sở dữ liệu về nhà ở và thị trường bất động sản đã được kết nối, khai thác thì thực hiện công khai thông tin về dự án đầu tư xây dựng nhà ở cho lực lượng vũ trang nhân dân trên hệ thống này theo quy định của pháp luật về xây dựng và quản lý hệ thống thông tin, cơ sở dữ liệu về nhà ở và thị trường bất động sản;

b) Trước thời điểm bắt đầu tiếp nhận hồ sơ đăng ký mua nhà ở cho lực lượng vũ trang nhân dân thì chủ đầu tư phải gửi thông tin về thời điểm bắt đầu tiếp nhận, kết thúc tiếp nhận hồ sơ đăng ký mua, số căn hộ/căn nhà để bán, diện tích căn hộ, giá bán nhà ở cho lực lượng vũ trang nhân dân trên hệ thống thông tin về nhà ở và thị trường bất động sản và được gửi đến cơ quan chuyên môn về nhà ở trực thuộc Bộ Quốc phòng, Bộ Công an.

Thời gian nộp, tiếp nhận hồ sơ do chủ đầu tư quyết định nhưng tối thiểu là 30 ngày kể từ ngày bắt đầu tiếp nhận hồ sơ;

c) Bộ Quốc phòng, Bộ Công an có trách nhiệm giao cơ quan chuyên môn về nhà ở trực thuộc hoặc đơn vị trực thuộc cấp tỉnh tại địa phương nơi có dự án gửi thông tin dự án tới các đơn vị thuộc lực lượng vũ trang nhân dân trên địa bàn để thông báo cho đối tượng được hưởng chính sách hỗ trợ về nhà ở cho lực lượng vũ trang nhân dân đăng ký.

Cá nhân có nhu cầu đăng ký mua nhà ở cho lực lượng vũ trang nhân dân nộp đơn đăng ký mua nhà ở cho lực lượng vũ trang nhân dân theo Mẫu số 03 tại Phụ lục II của Nghị định này và các giấy tờ chứng minh đối tượng, điều kiện được mua nhà ở cho lực lượng vũ trang nhân dân về đơn vị nơi cá nhân đang công tác để tổng hợp, gửi cơ quan chuyên môn trực thuộc Bộ Quốc phòng, Bộ Công an;

d) Căn cứ số lượng đăng ký của các đơn vị, Bộ Quốc phòng, Bộ Công an tổ chức phân bổ số lượng căn hộ tại dự án cho các đơn vị trực thuộc đóng quân trên địa bàn cấp tỉnh nơi có dự án theo tỷ lệ hồ sơ đăng ký và các điều kiện đặc thù của lực lượng vũ trang. Việc phân bổ có thể thực hiện theo một hoặc nhiều đợt, bảo đảm phù hợp với số lượng căn hộ, hồ sơ đăng ký và tình hình triển khai thực tế của dự án.

Căn cứ số lượng căn hộ được phân bổ, các đơn vị trực thuộc Bộ Quốc phòng, Bộ Công an tổ chức xét duyệt, lập Danh sách các đối tượng thuộc phạm vi quản lý dự kiến mua nhà ở cho lực lượng vũ trang nhân dân kèm theo hồ sơ chứng minh đối tượng và điều kiện được hưởng chính sách hỗ trợ về nhà ở xã hội theo quy định để gửi về cơ quan chuyên môn về nhà ở trực thuộc Bộ Quốc phòng, Bộ Công an.

Người đăng ký mua nhà ở cho lực lượng vũ trang nhân dân phải cam kết chưa được hưởng chính sách hỗ trợ về nhà ở, chưa được mua nhà ở cho lực lượng vũ trang nhân dân và chịu trách nhiệm về việc bảo đảm đối tượng, điều kiện được hưởng chính sách hỗ trợ về nhà ở cho lực lượng vũ trang nhân dân tại thời điểm ký hợp đồng mua bán;

đ) Cơ quan chuyên môn về nhà ở trực thuộc Bộ Quốc phòng, Bộ Công an có trách nhiệm tổng hợp Danh sách dự kiến mua nhà ở cho lực lượng vũ trang nhân dân, trong đó thể hiện thông tin cá nhân của người đăng ký và các thành viên trong hộ gia đình được khai tại Đơn đăng ký mua nhà ở cho lực lượng vũ trang nhân dân; gửi Sở Xây dựng địa phương nơi có dự án để kiểm tra người đăng ký mua nhà ở cho lực lượng vũ trang nhân dân đã được hưởng hoặc chưa được hưởng chính sách hỗ trợ về nhà ở theo quy định của pháp luật về nhà ở. Sở Xây dựng có trách nhiệm trả lời bằng văn bản trong thời hạn 10 ngày kể từ ngày nhận được Danh sách;

e) Cơ quan chuyên môn về nhà ở trực thuộc Bộ Quốc phòng, Bộ Công an có trách nhiệm rà soát, đánh giá, tổng hợp ý kiến của Sở Xây dựng và đối chiếu với các quy định của pháp luật về nhà ở để xác định hồ sơ đáp ứng điều kiện được hưởng chính sách hỗ trợ về nhà ở cho lực lượng vũ trang nhân dân, tổng hợp Danh sách đủ điều kiện mua nhà ở cho lực lượng vũ trang nhân dân, trình lãnh đạo Bộ Quốc phòng, Bộ Công an phê duyệt Danh sách và thông báo cho chủ đầu tư dự án, đối tượng được mua nhà ở tại dự án.

Đối với hồ sơ không đáp ứng đủ điều kiện thì gửi trả lại và nêu rõ lý do trong thời hạn 15 ngày kể từ ngày phê duyệt Danh sách.

Trường hợp người có nhu cầu mua nhà ở cho lực lượng vũ trang nhân dân đáp ứng đúng đối tượng, đủ điều kiện theo quy định và đã được phê duyệt trong Danh sách, nhưng không còn nhu cầu mua nhà ở thì báo cáo đơn vị đang công tác để gửi về Bộ Quốc phòng, Bộ Công an đưa ra khỏi Danh sách;

g) Sau khi nhà ở đủ điều kiện được bán theo quy định của pháp luật về kinh doanh bất động sản, chủ đầu tư thực hiện ký kết Hợp đồng mua bán nhà ở cho lực lượng vũ trang nhân dân với khách hàng; đồng thời cập nhật thông tin về giao dịch, đối tượng đã mua nhà ở cho lực lượng vũ trang nhân dân theo quy định của pháp luật nhà ở, pháp luật về xây dựng và quản lý hệ thống thông tin, cơ sở dữ liệu về nhà ở và thị trường bất động sản.

Chủ đầu tư dự án có trách nhiệm công bố công khai Danh sách các khách hàng đã ký hợp đồng mua bán nhà ở cho lực lượng vũ trang nhân dân (bao gồm cả các thành viên trong hộ gia đình) tại trụ sở làm việc của chủ đầu tư, tại địa điểm thực hiện dự án và tại Sàn giao dịch bất động sản (nếu có) hoặc trang thông tin điện tử về nhà ở cho lực lượng vũ trang nhân dân của chủ đầu tư (nếu có) và gửi về cơ quan chuyên môn về nhà ở trực thuộc Bộ Quốc phòng, Bộ Công an để lưu trữ và phục vụ cho công tác quản lý, kiểm tra.

2. Trình tự, thủ tục cho thuê mua nhà ở cho lực lượng vũ trang nhân dân được thực hiện theo quy định tại khoản 1 Điều này.

3. Trình tự, thủ tục cho thuê nhà ở cho lực lượng vũ trang nhân dân được thực hiện theo quy định tại khoản 1 Điều này và không phải nộp các giấy tờ chứng minh điều kiện về nhà ở và thu nhập. Trường hợp thuê nhà ở cho lực lượng vũ trang nhân dân thuộc tài sản công thì người thuê nộp các giấy tờ chứng minh thuộc đối tượng được miễn, giảm tiền thuê nhà ở cho lực lượng vũ trang nhân dân (nếu có).”

Điều 38. Sửa đổi, bổ sung Điều 78

Sửa đổi, bổ sung khoản 12 như sau:

“12. Trường hợp đang cho thuê nhà ở xã hội theo quy định tại khoản 2 Điều 26 Nghị định số 100/2015/NĐ-CP thì chủ đầu tư được ưu tiên bán nhà ở cho người đang thuê nếu người thuê nhà ở có nhu cầu mua trước thời hạn 10 năm và đảm bảo đúng đối tượng, điều kiện theo quy định của Nghị định này hoặc bán lại nhà ở này cho Quỹ nhà ở quốc gia.

Giá bán nhà ở xã hội đang cho thuê gồm: giá bán đã được thẩm định, xác định tại thời điểm xác định, thẩm định giá thuê, cộng với lãi vay bình quân hằng năm của các ngân hàng thương mại cổ phần nhà nước tương ứng với thời gian thuê và trừ đi phần giá trị khấu hao nhà ở. Giá trị khấu hao nhà ở được xác định bằng giá bán nhà ở đã được cơ quan nhà nước có thẩm quyền thẩm định nhân với thời gian đã thuê chia cho số năm thu hồi vốn đầu tư đã tính toán để cho thuê.”

Chương V

SỬA ĐỔI, BỔ SUNG MỘT SỐ ĐIỀU CỦA CÁC NGHỊ ĐỊNH VỀ PHÂN QUYỀN, PHÂN CẤP, PHÂN ĐỊNH THẨM QUYỀN TRONG LĨNH VỰC QUẢN LÝ NHÀ NƯỚC CỦA BỘ XÂY DỰNG

Điều 39. Sửa đổi, bổ sung Nghị định số 140/2025/NĐ-CP ngày 12 tháng 6 năm 2025 của Chính phủ quy định về phân định thẩm quyền của chính quyền địa phương 02 cấp trong lĩnh vực quản lý nhà nước của Bộ Xây dựng

Sửa đổi, bổ sung khoản 2 Điều 9 như sau:

“2. Trách nhiệm của đại diện chủ sở hữu nhà ở thuộc tài sản công là Ủy ban nhân dân cấp tỉnh tại khoản 1 Điều 15 Luật Nhà ở năm 2023 do Ủy ban nhân dân cấp xã thực hiện khi được phân cấp, ủy quyền.”

Điều 40. Sửa đổi, bổ sung Nghị định số 144/2025/NĐ-CP ngày 12 tháng 6 năm 2025 của Chính phủ quy định về phân quyền, phân cấp trong lĩnh vực quản lý nhà nước của Bộ Xây dựng

1. Bổ sung khoản 1a Điều 5 như sau:

“1a. Trường hợp Văn phòng Trung ương Đảng được cấp có thẩm quyền giao thực hiện dự án đầu tư xây dựng nhà ở công vụ thì Chánh Văn phòng Trung ương Đảng quyết định chủ trương đầu tư, quyết định đầu tư, quyết định chủ đầu tư dự án và quyết định việc quản lý, vận hành theo quy định.

Trình tự, thủ tục quyết định, điều chỉnh chủ trương đầu tư, quyết định đầu tư và quyết định chủ đầu tư dự án được áp dụng như quy định của pháp luật nhà ở, pháp luật đầu tư công.”

2. Bãi bỏ Điều 23.

Chương VI

HIỆU LỰC THI HÀNH VÀ TỔ CHỨC THỰC HIỆN

Điều 41. Điều khoản thi hành

1. Nghị định này có hiệu lực thi hành từ ngày 09 tháng 02 năm 2026.

Chương V của Nghị định này hết hiệu lực theo quy định của Nghị định số 140/2025/NĐ-CP, Nghị định số 144/2025/NĐ-CP.

2. Về việc áp dụng quy định tại Nghị định số 144/2025/NĐ-CP quy định về phân quyền, phân cấp trong lĩnh vực quản lý nhà nước của Bộ Xây dựng:

a) Trình tự, thủ tục, thẩm quyền chuyển đổi công năng nhà ở quy định tại Nghị định số 95/2024/NĐ-CP tiếp tục được thực hiện theo quy định tại Nghị định số 144/2025/NĐ-CP và quy định tại Điều 22 của Nghị định này;

b) Việc đăng ký hoạt động sàn giao dịch bất động sản quy định tại Nghị định số 96/2024/NĐ-CP tiếp tục được thực hiện theo quy định tại Nghị định số 144/2025/NĐ-CP, khoản 2 Điều 14 Nghị định số 96/2024/NĐ-CP và quy định của Nghị định này;

c) Các nội dung khác quy định tại Nghị định số 144/2025/NĐ-CP mà không được sửa đổi, bổ sung tại Nghị định này thì tiếp tục áp dụng quy định tại Nghị định số 144/2025/NĐ-CP.

3. Các nội dung khác quy định tại Nghị định số 140/2025/NĐ-CP mà không được sửa đổi, bổ sung tại Nghị định này thì tiếp tục áp dụng quy định tại Nghị định số 140/2025/NĐ-CP.

4. Cơ quan có thẩm quyền giải quyết thủ tục hành chính quy định tại Nghị định số 95/2024/NĐ-CP, Nghị định số 96/2024/NĐ-CP, Nghị định số 98/2024/NĐ-CP, Nghị định số 100/2024/NĐ-CP và Nghị định này có trách nhiệm cập nhật văn bản giải quyết thủ tục hành chính lên hệ thống thông tin về nhà ở và thị trường bất động sản theo quy định của pháp luật về kinh doanh bất động sản.

5. Trường hợp các văn bản quy phạm pháp luật viện dẫn tại Nghị định này được sửa đổi, bổ sung hoặc thay thế thì áp dụng quy định tại văn bản sửa đổi, bổ sung hoặc thay thế đó.

Điều 42. Quy định chuyển tiếp

1. Đối với các hồ sơ đã nộp trước ngày Nghị định này có hiệu lực thi hành mà chưa ban hành kết quả giải quyết, cơ quan tiếp nhận hồ sơ không được yêu cầu nộp thêm giấy tờ (bản giấy) đối với thành phần hồ sơ đã được quy định tại Nghị định này, trừ trường hợp cơ sở dữ liệu đối với nội dung đó chưa được khai thác, vận hành.

2. Đối với đơn vị đã được cơ quan quản lý nhà ở trực thuộc Bộ Xây dựng thông báo đơn vị đủ điều kiện quản lý vận hành nhà chung cư theo quy định tại Nghị định số 95/2024/NĐ-CP, trường hợp đơn vị có đề nghị bổ sung, sửa đổi nội dung trong văn bản thông báo thì cơ quan có thẩm quyền thông báo thay đổi thông tin là cơ quan quản lý nhà ở cấp tỉnh.

3. Kể từ ngày Nghị định số 95/2024/NĐ-CP có hiệu lực thi hành đến trước thời điểm Nghị định này có hiệu lực thi hành, các đơn vị quản lý vận hành nhà chung cư đã được đăng tải đơn vị đủ điều kiện quản lý vận hành theo quy định của pháp luật về nhà ở trước ngày Nghị định số 95/2024/NĐ-CP có hiệu lực thi hành mà chưa gửi hồ sơ hoặc đã gửi hồ sơ nhưng chưa được trả kết quả để được xem xét, thông báo đơn vị đủ điều kiện quản lý vận hành nhà chung cư thì không phải thực hiện quy định tại khoản 8 Điều 95 Nghị định số 95/2024/NĐ-CP, trừ trường hợp có thay đổi về thông tin, nội dung cung cấp dịch vụ hoặc không đáp ứng điều kiện theo quy định tại khoản 6 Điều 198 Luật Nhà ở.

4. Trường hợp chủ đầu tư đã thực hiện tiếp nhận hồ sơ đăng ký mua, thuê mua theo quy định của Nghị định số 100/2024/NĐ-CP thì tiếp tục thực hiện theo trình tự, thủ tục của Nghị định số 100/2024/NĐ-CP. Trường hợp chưa tiếp nhận hồ sơ đăng ký thì thực hiện theo quy định của Nghị định này.

5. Các giấy tờ chứng minh đối tượng, điều kiện được hưởng chính sách hỗ trợ về nhà ở xã hội đã được cơ quan có thẩm quyền xác nhận theo quy định trước ngày Nghị định này có hiệu lực thi hành thì tiếp tục được sử dụng và có giá trị trong thời hạn 12 tháng, kể từ ngày được xác nhận.

Điều 43. Trách nhiệm tổ chức thực hiện

1. Bộ trưởng Bộ Xây dựng có trách nhiệm hướng dẫn và tổ chức thực hiện Nghị định này.

2. Các Bộ trưởng, Thủ trưởng cơ quan ngang bộ, Thủ trưởng cơ quan thuộc Chính phủ, Chủ tịch Ủy ban nhân dân các tỉnh, thành phố trực thuộc trung ương và các cơ quan liên quan chịu trách nhiệm tổ chức thực hiện Nghị định này.

 

 

Nơi nhận:
– Ban Bí thư Trung ương Đảng;
– Thủ tướng, các Phó Thủ tướng Chính phủ;
– Các bộ, cơ quan ngang bộ, cơ quan thuộc Chính phủ;
– HĐND, UBND các tỉnh, thành phố trực thuộc trung ương;
– Văn phòng Trung ương và các Ban của Đảng;
– Văn phòng Tổng Bí thư;
– Văn phòng Chủ tịch nước;
– Hội đồng Dân tộc và các Ủy ban của Quốc hội;
– Văn phòng Quốc hội;
– Tòa án nhân dân tối cao;
– Viện kiểm sát nhân dân tối cao;
– Kiểm toán nhà nước;
– Ủy ban Trung ương Mặt trận Tổ quốc Việt Nam;
– Cơ quan trung ương của các tổ chức chính trị – xã hội;
– VPCP: BTCN, các PCN, Trợ lý TTg, TGĐ Cổng TTĐT, các Vụ, Cục, đơn vị trực thuộc, Công báo;
– Lưu: VT, CN (2b).

TM. CHÍNH PHỦ
KT. THỦ TƯỚNG
PHÓ THỦ TƯỚNG

Trần Hồng Hà

 

Tải văn bản tại đây: NGHỊ ĐỊNH 54/2026/NĐ-CP – SỬA ĐỔI, BỔ SUNG MỘT SỐ ĐIỀU CỦA CÁC NGHỊ ĐỊNH TRONG LĨNH VỰC NHÀ Ở, KINH DOANH BẤT ĐỘNG SẢN

NGHỊ ĐỊNH 54/2026/NĐ-CP - SỬA ĐỔI, BỔ SUNG MỘT SỐ ĐIỀU CỦA CÁC NGHỊ ĐỊNH TRONG LĨNH VỰC NHÀ Ở, KINH DOANH BẤT ĐỘNG SẢN

Công ty Luật TNHH Một thành viên Yến Nam [YENNAM LawFirm] – Điểm Tựa Pháp Lý Vững Chắc!

🔹 Uy Tín: Với hơn 10 năm kinh nghiệm trong ngành luật.

🔹 Đa Dạng Lĩnh Vực: Chúng tôi chuyên tư vấn và giải quyết các vấn đề pháp lý trong nhiều lĩnh vực: từ dân sự, hình sự, doanh nghiệp, thương mại, đất đai, hôn nhân gia đình, đến tranh chấp, thừa kế và quản tài viên quản lý thanh lý tài sản.

🔹 Đội Ngũ Chuyên Nghiệp: Với đội ngũ luật sư giàu kinh nghiệm, chúng tôi lắng nghe và đưa ra giải pháp pháp lý tối ưu nhất cho khách hàng.

🔹 Cam Kết: Chúng tôi không chỉ là luật sư của bạn, mà còn là đối tác tin cậy trong hành trình pháp lý nhầm bào về quyền lợi của bạn.

🔹 Hỗ Trợ: Luôn sẵn sàng lắng nghe và hỗ trợ bạn mọi lúc, mọi nơi. Giúp bạn giải quyết mọi vấn đề một cách nhanh chóng và hiệu quả.

Liên HệSố 242, đường Trường Chinh, khóm Đông Thịnh 9,  P. Long Xuyên, An Giang. 📞 Điện thoại: 02966 266 177 Ls. Nam, 093 997 06 78 Ls. Yến

🌐 Website: https://yennamlawfirm.vn/

NGHỊ ĐỊNH 54/2026/NĐ-CP – SỬA ĐỔI, BỔ SUNG MỘT SỐ ĐIỀU CỦA CÁC NGHỊ ĐỊNH TRONG LĨNH VỰC NHÀ Ở, KINH DOANH BẤT ĐỘNG SẢN, NGHỊ ĐỊNH 54/2026/NĐ-CP – SỬA ĐỔI, BỔ SUNG MỘT SỐ ĐIỀU CỦA CÁC NGHỊ ĐỊNH TRONG LĨNH VỰC NHÀ Ở, KINH DOANH BẤT ĐỘNG SẢN, NGHỊ ĐỊNH 54/2026/NĐ-CP – SỬA ĐỔI, BỔ SUNG MỘT SỐ ĐIỀU CỦA CÁC NGHỊ ĐỊNH TRONG LĨNH VỰC NHÀ Ở, KINH DOANH BẤT ĐỘNG SẢN,NGHỊ ĐỊNH 54/2026/NĐ-CP – SỬA ĐỔI, BỔ SUNG MỘT SỐ ĐIỀU CỦA CÁC NGHỊ ĐỊNH TRONG LĨNH VỰC NHÀ Ở, KINH DOANH BẤT ĐỘNG SẢN,NGHỊ ĐỊNH 54/2026/NĐ-CP – SỬA ĐỔI, BỔ SUNG MỘT SỐ ĐIỀU CỦA CÁC NGHỊ ĐỊNH TRONG LĨNH VỰC NHÀ Ở, KINH DOANH BẤT ĐỘNG SẢN,NGHỊ ĐỊNH 54/2026/NĐ-CP – SỬA ĐỔI, BỔ SUNG MỘT SỐ ĐIỀU CỦA CÁC NGHỊ ĐỊNH TRONG LĨNH VỰC NHÀ Ở, KINH DOANH BẤT ĐỘNG SẢN,NGHỊ ĐỊNH 54/2026/NĐ-CP – SỬA ĐỔI, BỔ SUNG MỘT SỐ ĐIỀU CỦA CÁC NGHỊ ĐỊNH TRONG LĨNH VỰC NHÀ Ở, KINH DOANH BẤT ĐỘNG SẢN,NGHỊ ĐỊNH 54/2026/NĐ-CP – SỬA ĐỔI, BỔ SUNG MỘT SỐ ĐIỀU CỦA CÁC NGHỊ ĐỊNH TRONG LĨNH VỰC NHÀ Ở, KINH DOANH BẤT ĐỘNG SẢN,NGHỊ ĐỊNH 54/2026/NĐ-CP – SỬA ĐỔI, BỔ SUNG MỘT SỐ ĐIỀU CỦA CÁC NGHỊ ĐỊNH TRONG LĨNH VỰC NHÀ Ở, KINH DOANH BẤT ĐỘNG SẢN,NGHỊ ĐỊNH 54/2026/NĐ-CP – SỬA ĐỔI, BỔ SUNG MỘT SỐ ĐIỀU CỦA CÁC NGHỊ ĐỊNH TRONG LĨNH VỰC NHÀ Ở, KINH DOANH BẤT ĐỘNG SẢN,NGHỊ ĐỊNH 54/2026/NĐ-CP – SỬA ĐỔI, BỔ SUNG MỘT SỐ ĐIỀU CỦA CÁC NGHỊ ĐỊNH TRONG LĨNH VỰC NHÀ Ở, KINH DOANH BẤT ĐỘNG SẢN,NGHỊ ĐỊNH 54/2026/NĐ-CP – SỬA ĐỔI, BỔ SUNG MỘT SỐ ĐIỀU CỦA CÁC NGHỊ ĐỊNH TRONG LĨNH VỰC NHÀ Ở, KINH DOANH BẤT ĐỘNG SẢN,NGHỊ ĐỊNH 54/2026/NĐ-CP – SỬA ĐỔI, BỔ SUNG MỘT SỐ ĐIỀU CỦA CÁC NGHỊ ĐỊNH TRONG LĨNH VỰC NHÀ Ở, KINH DOANH BẤT ĐỘNG SẢN,NGHỊ ĐỊNH 54/2026/NĐ-CP – SỬA ĐỔI, BỔ SUNG MỘT SỐ ĐIỀU CỦA CÁC NGHỊ ĐỊNH TRONG LĨNH VỰC NHÀ Ở, KINH DOANH BẤT ĐỘNG SẢN,NGHỊ ĐỊNH 54/2026/NĐ-CP – SỬA ĐỔI, BỔ SUNG MỘT SỐ ĐIỀU CỦA CÁC NGHỊ ĐỊNH TRONG LĨNH VỰC NHÀ Ở, KINH DOANH BẤT ĐỘNG SẢN,NGHỊ ĐỊNH 54/2026/NĐ-CP – SỬA ĐỔI, BỔ SUNG MỘT SỐ ĐIỀU CỦA CÁC NGHỊ ĐỊNH TRONG LĨNH VỰC NHÀ Ở, KINH DOANH BẤT ĐỘNG SẢN,NGHỊ ĐỊNH 54/2026/NĐ-CP – SỬA ĐỔI, BỔ SUNG MỘT SỐ ĐIỀU CỦA CÁC NGHỊ ĐỊNH TRONG LĨNH VỰC NHÀ Ở, KINH DOANH BẤT ĐỘNG SẢN,NGHỊ ĐỊNH 54/2026/NĐ-CP – SỬA ĐỔI, BỔ SUNG MỘT SỐ ĐIỀU CỦA CÁC NGHỊ ĐỊNH TRONG LĨNH VỰC NHÀ Ở, KINH DOANH BẤT ĐỘNG SẢN,NGHỊ ĐỊNH 54/2026/NĐ-CP – SỬA ĐỔI, BỔ SUNG MỘT SỐ ĐIỀU CỦA CÁC NGHỊ ĐỊNH TRONG LĨNH VỰC NHÀ Ở, KINH DOANH BẤT ĐỘNG SẢN,NGHỊ ĐỊNH 54/2026/NĐ-CP – SỬA ĐỔI, BỔ SUNG MỘT SỐ ĐIỀU CỦA CÁC NGHỊ ĐỊNH TRONG LĨNH VỰC NHÀ Ở, KINH DOANH BẤT ĐỘNG SẢN,NGHỊ ĐỊNH 54/2026/NĐ-CP – SỬA ĐỔI, BỔ SUNG MỘT SỐ ĐIỀU CỦA CÁC NGHỊ ĐỊNH TRONG LĨNH VỰC NHÀ Ở, KINH DOANH BẤT ĐỘNG SẢN,NGHỊ ĐỊNH 54/2026/NĐ-CP – SỬA ĐỔI, BỔ SUNG MỘT SỐ ĐIỀU CỦA CÁC NGHỊ ĐỊNH TRONG LĨNH VỰC NHÀ Ở, KINH DOANH BẤT ĐỘNG SẢN,NGHỊ ĐỊNH 54/2026/NĐ-CP – SỬA ĐỔI, BỔ SUNG MỘT SỐ ĐIỀU CỦA CÁC NGHỊ ĐỊNH TRONG LĨNH VỰC NHÀ Ở, KINH DOANH BẤT ĐỘNG SẢN, NGHỊ ĐỊNH 54/2026/NĐ-CP – SỬA ĐỔI, BỔ SUNG MỘT SỐ ĐIỀU CỦA CÁC NGHỊ ĐỊNH TRONG LĨNH VỰC NHÀ Ở, KINH DOANH BẤT ĐỘNG SẢN,NGHỊ ĐỊNH 54/2026/NĐ-CP – SỬA ĐỔI, BỔ SUNG MỘT SỐ ĐIỀU CỦA CÁC NGHỊ ĐỊNH TRONG LĨNH VỰC NHÀ Ở, KINH DOANH BẤT ĐỘNG SẢN,NGHỊ ĐỊNH 54/2026/NĐ-CP – SỬA ĐỔI, BỔ SUNG MỘT SỐ ĐIỀU CỦA CÁC NGHỊ ĐỊNH TRONG LĨNH VỰC NHÀ Ở, KINH DOANH BẤT ĐỘNG SẢN,NGHỊ ĐỊNH 54/2026/NĐ-CP – SỬA ĐỔI, BỔ SUNG MỘT SỐ ĐIỀU CỦA CÁC NGHỊ ĐỊNH TRONG LĨNH VỰC NHÀ Ở, KINH DOANH BẤT ĐỘNG SẢN,NGHỊ ĐỊNH 54/2026/NĐ-CP – SỬA ĐỔI, BỔ SUNG MỘT SỐ ĐIỀU CỦA CÁC NGHỊ ĐỊNH TRONG LĨNH VỰC NHÀ Ở, KINH DOANH BẤT ĐỘNG SẢN,NGHỊ ĐỊNH 54/2026/NĐ-CP – SỬA ĐỔI, BỔ SUNG MỘT SỐ ĐIỀU CỦA CÁC NGHỊ ĐỊNH TRONG LĨNH VỰC NHÀ Ở, KINH DOANH BẤT ĐỘNG SẢN,NGHỊ ĐỊNH 54/2026/NĐ-CP – SỬA ĐỔI, BỔ SUNG MỘT SỐ ĐIỀU CỦA CÁC NGHỊ ĐỊNH TRONG LĨNH VỰC NHÀ Ở, KINH DOANH BẤT ĐỘNG SẢN,NGHỊ ĐỊNH 54/2026/NĐ-CP – SỬA ĐỔI, BỔ SUNG MỘT SỐ ĐIỀU CỦA CÁC NGHỊ ĐỊNH TRONG LĨNH VỰC NHÀ Ở, KINH DOANH BẤT ĐỘNG SẢN,NGHỊ ĐỊNH 54/2026/NĐ-CP – SỬA ĐỔI, BỔ SUNG MỘT SỐ ĐIỀU CỦA CÁC NGHỊ ĐỊNH TRONG LĨNH VỰC NHÀ Ở, KINH DOANH BẤT ĐỘNG SẢN,NGHỊ ĐỊNH 54/2026/NĐ-CP – SỬA ĐỔI, BỔ SUNG MỘT SỐ ĐIỀU CỦA CÁC NGHỊ ĐỊNH TRONG LĨNH VỰC NHÀ Ở, KINH DOANH BẤT ĐỘNG SẢN,

NGHỊ ĐỊNH 54/2026/NĐ-CP – SỬA ĐỔI, BỔ SUNG MỘT SỐ ĐIỀU CỦA CÁC NGHỊ ĐỊNH TRONG LĨNH VỰC NHÀ Ở, KINH DOANH BẤT ĐỘNG SẢN, NGHỊ ĐỊNH 54/2026/NĐ-CP – SỬA ĐỔI, BỔ SUNG MỘT SỐ ĐIỀU CỦA CÁC NGHỊ ĐỊNH TRONG LĨNH VỰC NHÀ Ở, KINH DOANH BẤT ĐỘNG SẢN,

Dịch vụ khác